連鎖を積みながら、こまめに相手のフィールドをチェックする技術が見えてきます。
INDEX
パズルゲーム「ぷよぷよ」の対戦において、プロのeスポーツ選手はどのように画面を捉えているのか? セガがアイトラッキング(視線計測)を用いた実験結果を発表しました。

研究の対象は、対戦相手の状況を把握する「凝視」と呼ばれるテクニック。プロの凝視がいかに行われているのか、セガはアイトラッキングのリーディングカンパニー、トビー・テクノロジーと共同でプレイヤーの視線を分析しました。
実験にはアマチュア1人と、プロ選手のdeltaさんと飛車ちゅうさんが参加。それぞれのプレイ中の視線を計測し、その配分や移動量から、凝視で得ている情報量などを分析しました。


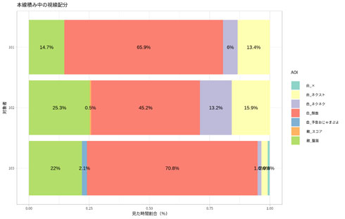
本線(大きな連鎖)を積んでいる最中の視線配分を見ると、プロはアマチュアより、NEXTぷよ(次に落ちてくるぷよの予告)や、対戦相手のフィールドを見る割合が多いと分かりました。また、deltaさんと比べ、飛車ちゅうさんは視線の多くを自陣の上部に置いていましたが、これは視線の少し外側でNEXTぷよの色を確認していたとのこと。プロでも基本的な画面の見方に個性が出るようです。



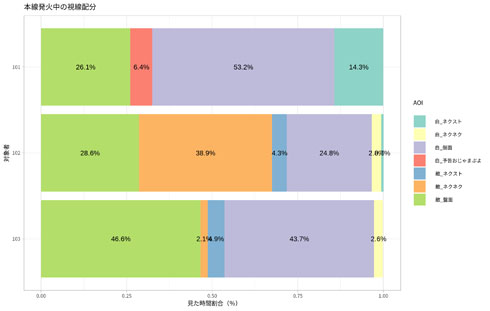
実験ではほかにも、凝視で得る情報量(相手の状況を見ている間の視線移動量)や、情報を得る頻度(ある一点を見てから次に見るまでの時間間隔)など、さまざまな角度から分析。おおむね、プロはアマチュアよりもこまめに視線を動かし、短時間でより多くの情報を得る傾向がみられます。



実験後、deltaさんは「凝視は対戦における1つの大事な意識なため、あらためてみなさんに知っていただけるよい機会になれば」とコメント。飛車ちゅうさんも「プロ同士の試合だと、自陣の連鎖を組むことに集中するのではなく、対戦相手の動向を見て組み方を変えたりする必要があります。なので視点移動は、試合中は激しく、また周辺視野でもって相手の動向を高頻度で把握しています」と語っています。