9月10日〜20日の期間のネット回答数は1900万以上で回答率は前回を参考に比較すると36.9%だった。
総務省は9月25日、国勢調査におけるオンライン調査の実施状況を発表した。
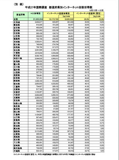
9月10日〜20日にかけて紙の調査票による調査に先行して実施された、オンライン調査では期間中の回答数が1917万5769件にのぼり、前回の国勢調査の世帯数をもとに試算するとインターネット回答率は36.9%だった。

そのうちスマートフォンから回答した割合は12.8%。インターネットで回答した世帯の3世帯に1世帯はスマートフォンからだった。都道府県別の回答率をみると、滋賀県の48.4%がもっとも高く、次いで富山県、岐阜県、愛知県、奈良県と続き、17の県において4割を超えたとのこと。ただ、東京都の回答率が26.0%と低い。

9月26日から30日にかけてインターネット回答のなかった世帯のみに紙の調査票が配布される。調査票の提出期間は10月1日〜7日まで。ただし、大雨の被害の大きかった地域などインターネット回答が完了していない世帯もあることを鑑みて、10月20日までの期間は紙の調査票と並行してインターネット回答も受け付けている。先行期間内にインターネット回答をし忘れたという方も利用できる。