近未来感。
INDEX
筆記具の動きを感知することで脳波を予測し、集中力を把握できるという実証実験結果が三菱鉛筆から発表されました。実験は、東京大学大学院薬学系研究科の池谷裕二教授とストーリアによって実施されたもの。

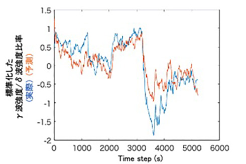
共同研究では筆記具の動きと脳波を記録し、筆記具の動きから脳波を予測する実証実験を実施。筆記具の加速度データから集中力を予測できることが判明しました。研究論文は、2023年度人工知能学会全国大会にも採択されたといいます。
研究の目的は、学習や作業の最適化を目指すため。日常的な筆記行為を通じて自分の集中状態を把握することで、教育現場での学習効率や仕事場での作業効率の工場が期待できます。
研究ではアタッチメント型IoT機器が使用されました。筆記具に装着することで、加速度を測定します。筆記動作と脳波の2つを、ディープラーニングの1つである長短期記憶ニューラルネットワーク手法を用いて時系列的に分析。結果として、筆記動作から脳波を予測することが可能であることが確認されました。
三菱鉛筆は研究の結果を踏まえて、「より質の高い教育の実現をはじめとする多様な社会的課題解決の可能性をも探ることができる」と今後の可能性についてコメントしました。
