大人になって解いてみると、意外と難しい。
advertisement
問題

覚えてたら結構すごい(イラスト:野田せいぞ)
advertisement
答え
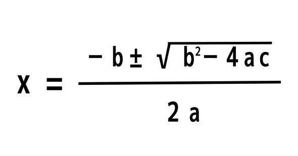
正解は「x=(−b±√b2−4ac)/2a」でした!

2次方程式の解の公式(編集部で作成)
【解説】2次方程式の解の公式は「x=(−b±√b2−4ac)/2a」でした。詳しい求め方は、金沢工業大学が公開しているWebサイト「KIT数学ナビゲーション」などで見ることが出来ますので、気になる人はそちらも確認してみてくださいね。
なお、元の2次方程式が「ax2+2bx+c=0(a≠0)」のときは「x=(−b±√b2−ac)/a」と簡略化できます。

xの係数が偶数の場合の、2次方程式の解の公式(編集部で作成)
advertisement
ねとらぼの「おすすめクイズ」
ねとらぼのクイズ記事




